Beat365官网养生康复学院沙莎副教授及其研究团队长期致力于“旅游疗愈”的研究,相关成果以“Can Rehabilitative Travel Mobility improve the Quality of Life of Seasonal Affective Disorder Tourists?”为题,于2022年9月23日发表在Frontiers in Psychology期刊(SSCI收录,一区)。Beat365官网沙莎副教授为论文第一作者。

旅游科学的发展促使研究者跨入了对游客生命健康领域的探讨,但高度碎片化的文献仍缺乏解释机理的研究成果,加之旅游者的健康研究本身就面临着实验控制、成本、伦理等方面的挑战,以及跨专业的交叉学科限制,致使康复性流动与游客的健康此类亟待回答的研究命题至今仍悬而未决,为本研究带来新的空间。
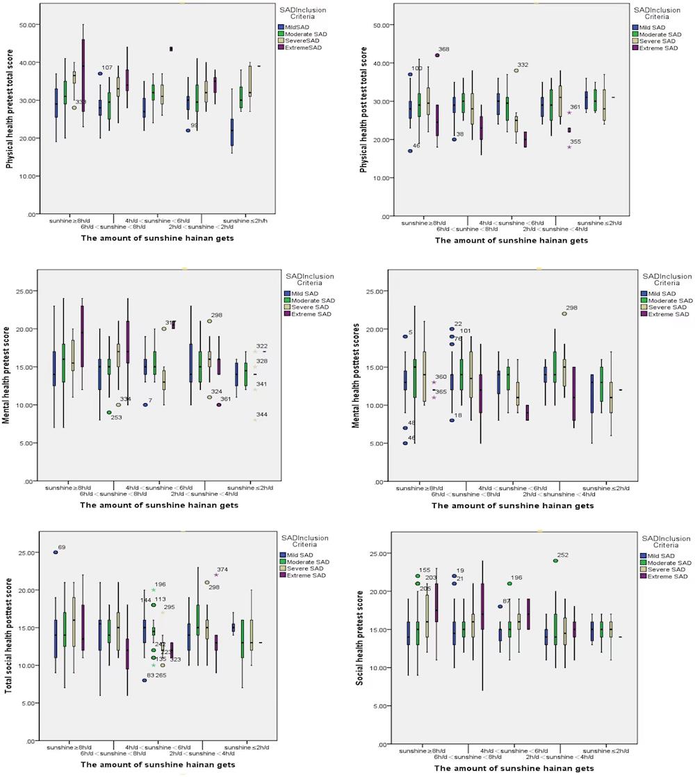
论文以康复性流动对季节性情感综合症游客生命质量的提升为研究切入,通过为期一月的观察实验研究,对比分析了冬季避寒流动和本地对照组季节性情感障碍(SAD)游客生命质量提升的影响差异。研究结果表明,康复性流动给SAD游客带来了更多利于健康提升的环境场域,该避寒环境空间中的特质资源“日照”对不同程度的SAD游客生命质量提升有积极的刺激作用。本文进一步验证了康复性流动下的“旅游疗愈”对亚健康群体生命质量的提升作用,以期未来将“旅游疗愈”作为一种非医学的替代疗法,真正实现游客“游必有康”的出行。

图1. 不同日照水平对不同程度SAD观察组游客生命质量提升的影响

图2.观察组与对照组后测差异以及观察组前后测差异对照
本研究得到四川省人民政府政务调研项目(川办函(2020)35号第104项积极老龄化背景下老年人的需求变化及四川老龄产业发展研究)的资助。
原文链接:https://doi.org/10.3389/fpsyg.2022.976590
(供稿:养生康复学院)